MathType(数学公式编辑器)怎么用?MathType(数学公式编辑器)使用教程
1、下载打开MathType,打开软件之后先熟悉一下编辑模板上有哪些公式,这些公式的位置在哪里,方便之后的操作。

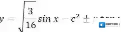
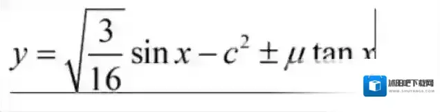
2、接下来我们以下图的公式为示范,给大家讲解一下怎样编辑;

3、首先我们先打出“y=”,接下来需要找到根号的位置。选择√工具,然后我们需要在√的里面输入3/16,先找到“-”工具后在相应的位置输入相应的数字。

4、Sinx只需要直接输入就可以了,不需要模板。下一步我们要找到的模板是幂函数,点击相应的模板,输入数字2就可。里面的模板里都有一个黑点,黑点的位置就是等会儿需要输入数字的位置。所以这里面需要看清楚黑点的位置。不要选错了。

5、然后需要输入±号,这个公式的模板位置如图所示:

6、下一步是找到希腊字母μ,这个字母的位置如图所示,在这个模板里面基本上都是希腊字母。

7、最后只需要直接输入tanx就行了。让我们看一下最后公式编辑的效果。

发表回复
评论列表 ( 0条)